INSIGHTS
Boosting Immune Health
Part 1 – The Role of Fiber and Prebiotics
Immune Boosting for Better Health
In 2022, the global COVID-19 outbreak continues to affect consumer behaviors and attitudes. The pandemic has altered the trajectory of food and drink trends to offer more health benefit and support the emotional well-being concept. A rising food and beverage trend is the growing interest in immune-boosting, which can prevent infection and increase healthy from within. We can see many food and beverage products that have adopted the immune boosting trend.
To increase immunity, we can start with good gut health, which can be supported by prebiotics and probiotics. Certain herbs and fruits can help us boost our immune system as well. In the course of this three part “For Better Immune Health” series, we will introduce nutrient and ingredient functions for adoption in immune boosting foods and beverages as follows:
1. Prebiotics and Fibers
2. Probiotics
3. Plant Extracts
Part 1: Prebiotics and Fibers
Actually, “Fiber” is well-known and has been used in food and beverages for many years to support digestion and detoxification. To this day, companies are increasingly creating products that contain fiber and prebiotic functions to support probiotics and improve gut health.
So, let’s talk about what you need to know about fiber and prebiotics. Dietary fiber is normally found in vegetables, fruits and whole grains. There are two types of fiber – soluble and insoluble, but how do they differ?
Insoluble dietary fiber
Insoluble fiber does not dissolve in water but it has water absorption properties. Insoluble fiber cannot be digested by gut bacteria. From its properties, it stimulates intestinal motility, adds bulk to stool and prevents constipation. Welll-known insoluble fibers are Cellulose and Lignin.
Soluble dietary fiber

Soluble fiber dissolves in water and it can be fermented by gut bacteria. Soluble fiber, which is often refered to as prebiotics, helps friendly bacteria proliferate. The proliferation of this friendly bacteria brings an array of health benefits. Not only do they promote gut balance but the friendly bacteria also regulate hormonal gut secretion, mood, bone health, blood glucose, inflammation, and lipid metabolism. Polydextrose, Inulin and FOS (fructo-oligosaccharides) are the best-known substances known as soluble fibers.
1. Polydextrose

Figure 1: Chemical Structure of Polydextrose
Polydextrose is a synthesised indigestible glucose polymer. It consists of glucose units and has an average DP of 12, with high-molecular weight. Polydextrose has an excellent water-holding capacity, but it does not form viscous solutions. It has no or little effect on fasting glucose and cholesterol levels.
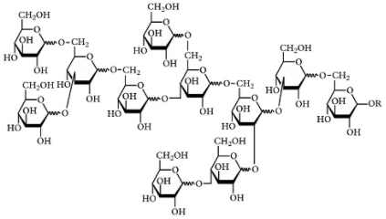
2. Inulin and FOS

Figure 2: Chemical Structure of Inulin and FOS
Inulin and FOS are polydisperse mixtures of linear chains of fructose, mostly one terminal glucose-unit. From the above image, the structure of Inulin is bigger in length and molecular weight than FOS. The number of fructose molecules in inulin can reach up to 100 whereas FOS has 2-10 molecules. So this is the key that has made FOS more effective than inulin, because bacteria are an easy to use as an energy source. This is the health benefit of friendly bacteria proliferation in your gut.
Conclusion of Part 1
Polydextrose, Inulin and FOS have many benefits. Besides being efficient prebiotics, they can be used as sugar substitute because the taste and feel is similar to sugar but with 30 – 50% less energy (compared with sucrose). Furthermore, they can be fat substitutes, too, because they have high viscosity, creamy texture and mouthfeel. Normally,these perbiotics are used in dairy products, ice cream, beverages, candy and bakery. Our Food lab has developed “Flow Yogurt Ice Cream” and a bread that use FOS as key ingredients as an alternative to existing ingredients.
JJING is standing by with FOS and Polydextrose to support the food and beverage industry. If you are interested or need more information, please send us a message!
References
Related Articles & Trends
Fast Baked Choux Cream
A French-inspired dessert that’s elegant, easy, and indulgent — this fast-bake choux cream offers rich texture and instant preparation. Created by our Regional Food Innovation Centre to simplify classic pastry making without compromising quality.
Balancing Profit & Planet: Smart Food Strategies for Sustainable Growth
Jebsen & Jessen Ingredients Thailand Food Team hosted a seminar in Bangkok on “Balancing Profit & Planet,” featuring prototypes, supplier showcases, and expert insights on sustainable growth strategies.
Korean Mochi Corndog & Eggless Creamy Gochujang Sauce
A flavour-packed Korean snack with a chewy mochi corndog and creamy, eggless gochujang sauce. Clean label, convenient, and fun to eat — discover the latest innovation from our Food Innovation Centre.
 
 

